
V dnešním článku vám přinášíme online kalkulačku na výpočet trojčlenky. Najdete ji ve dvou variantách – pro přímou i nepřímou úměrnost. Kalkulačka je určena všem školákům i učitelům, aby si mohli snadno zkontrolovat výpočty domácích úloh nebo opakovacích cvičení. Kromě samotného nástroje si také vše podrobně vysvětlíme a přidáme několik ukázkových příkladů včetně řešení.
Rozdíl mezi přímou a nepřímou úměrou
Trojčlenka nám slouží k rychlému výpočtu úměrných vztahů mezi veličinami. Ty mohou být přímé a nepřímé:
Přímá úměra
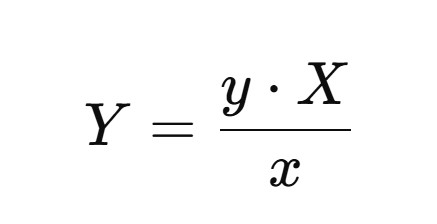
Přímá úměra nastává, když dvě veličiny rostou nebo klesají společně (= čím více stoupá jedna, tím více stoupá i druhá). V trojčlence zapisujeme: x / X = y / Y, kde x a X jsou známé hodnoty a y nebo Y je neznámá. Příklad přímé úměry může být: Pokud 4 kg(x) jablek stojí 120 Kč(X), kolik budou stát 7 kg(y) jablek? Výpočet neznámé hodnoty probíhá přesně podle vzorce:

Nepřímá úměra
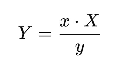
Nepřímá úměra nastává, když jedna veličina roste, zatímco druhá klesá (= čím více stoupá jedna, tím více klesá druhá). V trojčlence zapisujeme: x * X = y * Y, kde x a X jsou známé hodnoty a y nebo Y je neznámá. Příklad přímé úměry může být: Pokud 4 pracovníci(x) vyrobí 120 hraček(X) za den, kolik hraček vyrobí 6 pracovníků(y) za stejný čas? Výpočet probíhá takto:

Trojčlenka ONLINE
Trojčlenka - PŘÍMÁ úměra
Ukázkový příklad: Pokud 4 kg jablek stojí 120 Kč, kolik budou stát 7 kg jablek?
- x – známá hmotnost (4 kg)
- X – cena za tuto hmotnost (120 Kč)
- y – hmotnost u které nás zajímá cena (7 kg)
- Y – cena, kterou chceme vypočítat
- Zapíšeme přímou úměru: x / X = y / Y
- Doplníme hodnoty: 4 / 120 = 7 / Y
- Vypočítáme Y: Y = (7 * 120) / 4 = 840 / 4 = 210
Odpověď: 7 kg jablek bude stát 210 Kč.
Trojčlenka - NEPŘÍMÁ úměra
Ukázkový příklad: Pokud 4 pracovníci vyrobí 120 hraček za den, kolik hraček vyrobí 6 pracovníků za stejný čas?
- x – známý počet pracovníků (4)
- X – počet hraček vyrobených těmito pracovníky (120)
- y – počet pracovníků u kterých nás zajímá počet hraček (6)
- Y – počet hraček, které vyrobí těchto 6 pracovníků
- Zapíšeme nepřímou úměru: x * X = y * Y
- Doplníme hodnoty: 4 * 120 = 6 * Y
- Vypočítáme Y: Y = (4 * 120) / 6 = 480 / 6 = 80
Odpověď: 6 pracovníků vyrobí za stejný čas 80 hraček.
Ukázkové příklady s řešením
PŘÍMÁ ÚMĚRA
Příklad 1:
Pokud 5 litrů mléka stojí 75 Kč, kolik budou stát 8 litrů?
x – známé množství (5 l)
X – cena za toto množství (75 Kč)
y – množství, u kterého nás zajímá cena (8 l)
Y – cena, kterou chceme vypočítat
Postup:
- Zapíšeme přímou úměru: x / X = y / Y
- Doplníme hodnoty: 5 / 75 = 8 / Y
- Vypočítáme Y: Y = (8 * 75) / 5 = 600 / 5 = 120
Odpověď: 8 litrů mléka bude stát 120 Kč.
Příklad 2:
Pokud 3 knihy stojí 210 Kč, kolik budou stát 7 knih?
x – známé množství (3 knihy)
X – cena za toto množství (210 Kč)
y – množství, u kterého nás zajímá cena (7 knih)
Y – cena, kterou chceme vypočítat
Postup:
- Zapíšeme přímou úměru: x / X = y / Y
- Doplníme hodnoty: 3 / 210 = 7 / Y
- Vypočítáme Y: Y = (7 * 210) / 3 = 1470 / 3 = 490
Odpověď: 7 knih bude stát 490 Kč.
Příklad 3:
Pokud 6 vajec stojí 54 Kč, kolik budou stát 10 vajec?
x – známé množství (6 vajec)
X – cena za toto množství (54 Kč)
y – množství, u kterého nás zajímá cena (10 vajec)
Y – cena, kterou chceme vypočítat
Postup:
- Zapíšeme přímou úměru: x / X = y / Y
- Doplníme hodnoty: 6 / 54 = 10 / Y
- Vypočítáme Y: Y = (10 * 54) / 6 = 540 / 6 = 90
Odpověď: 10 vajec bude stát 90 Kč.
NEPŘÍMÁ ÚMĚRA
Příklad 1:
Pokud 5 strojů vyrobí 200 součástek za hodinu, kolik součástek vyrobí 8 strojů za hodinu?
x – známý počet strojů (5)
X – počet součástek vyrobených těmito stroji (200)
y – počet strojů, u kterých nás zajímá počet součástek (8)
Y – počet součástek, které vyrobí těchto 8 strojů
Postup:
- Zapíšeme nepřímou úměru: x * X = y * Y
- Doplníme hodnoty: 5 * 200 = 8 * Y
- Vypočítáme Y: Y = (5 * 200) / 8 = 1000 / 8 = 125
Odpověď: 8 strojů vyrobí 125 součástek.
Příklad 2:
Pokud 3 kuchaři uvaří 90 porcí polévky za 2 hodiny, kolik porcí uvaří 6 kuchařů za stejný čas?
x – známý počet kuchařů (3)
X – počet porcí uvařených těmito kuchaři (90)
y – počet kuchařů, u kterých nás zajímá počet porcí (6)
Y – počet porcí, které uvaří 6 kuchařů
Postup:
- Zapíšeme nepřímou úměru: x * X = y * Y
- Doplníme hodnoty: 3 * 90 = 6 * Y
- Vypočítáme Y: Y = (3 * 90) / 6 = 270 / 6 = 45
Odpověď: 6 kuchařů uvaří 45 porcí polévky.






